- 地址:
- 河北省泊頭市富鎮開發區
- 傳真:
- 0317-8041117
- Q Q:
- 28505225
袋式除塵器的種類很多,因此其選型計算顯得特別重要,選型不當,如設備過大,會造成不必要的浪費;設備選小會影響生產,難于滿足環保要求。 選型計算方法很多,一般地說,計算前應知道煙氣的基本工藝參數,如含塵氣體的流量,性質,濃度以及粉塵的分散度,浸潤性、黏度等。知道這些參數后,通過計算過濾風速、過濾面積、濾料及設備阻力、再選擇設備類別型號。
處理氣體量的計算 計算袋式除塵器的處理氣體時,首先要求出工況條件下的氣體量,即實際通過袋式除塵設備的氣體量,并且還要考慮除塵器本身的漏風量。這些數據,應根據已有工廠的實際運行經驗或檢測資料來確定,如果缺乏必要的數據,可按生產工藝過程產生的氣體量,再增加集氣罩混進的空氣量(約20%~40%)來計算。

式中 Q- 通過除塵器的含塵氣體量, m3/h;
Qs- 生產過程中產生的氣體量,m3/h;
Tc - 除塵器內氣體的溫度, ℃;
Pa - 環境大氣壓, kPa;
K - 除塵器器前漏風系統
應該注意,如果生產過程產箋氣體量是工作狀態下的氣體量,進行選型比較時則需要換算為標準狀態下的氣體量。
2、過濾風速的選取 過濾風速的大小,取決于含塵氣體的性狀、織物的類別以及料塵的性質,一般按除塵器樣本推薦的數據及使用者的實踐經驗選取。多數反吹風袋式除塵器的過濾風速在0.6~1.3m/s之間,脈沖袋式除塵器的過濾風速在1.2~2m/s左右,玻璃纖維袋式除塵器的過濾風速約為0.5~0.8m/s。
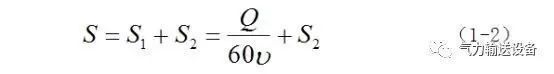
3、過濾面積的確定 (1) 總過濾面積 根據通過除塵器的總氣量和選定的過濾速度,按下式計算總過濾面積:

式中 S- 總過濾面積 m2;
S1— 濾袋工作部分的過濾面積 m2;
S2— 濾袋清灰部分的過濾面積 m2;
Q — 通過除塵器的總氣體量 m3/h;
求出總過濾面積后,就可以確定袋式除塵器的總體規模和尺寸。
單條濾袋面積 單條圓形濾袋面積,通常用下式計算:

式中 Sd — 單條圓形濾袋的公稱面積 m2;
D — 濾袋直徑 m;
L — 濾袋長度 m;
在濾袋加工過程中,因濾袋要固定在花板或短管,有的還要吊起來固定在袋帽上,所以濾袋需要雙層縫制甚至多層縫制;雙層縫制的這部分因阻力加大已無過濾作用,同時有的濾袋中間還要固定環,這部分也沒有過濾作用,故上式可改為:

式中 Sj —— 濾袋凈過濾面積 m2;
S2 —— 濾袋未能起過濾作用的面積 m2;
(3) 濾袋數量 求出總過濾面積和單條濾袋的面積后,就可以算出濾袋的條數。如果每個濾室的濾袋條數是確定的,還可以由此計算出速個除塵器的室數。盡管在除塵器的設計或選用中按需要確定室數,但從場地布置和維修方便考慮,常把超過6個室的除塵器的室數定為雙排,把少于5個室的除塵器的各室定為單排。
4、阻力計算 袋式除塵器的阻力由3部分組成: (a) 設備本體結構的阻力指氣體從除塵器入口,至除塵器出口產生的阻力;(b)濾袋阻力,指 末濾粉塵時濾料的阻力,約50~150Pa;(C) 濾袋表面粉層的阻力,粉塵層的阻力約為干凈濾布阻力的5~10倍。如果把濾袋及其表面附著的粉塵層的阻力叫做過濾阻力,那么過濾阻力可按下式計算:

式中 RPD——過濾阻力, Pa;
A——附著粉塵的過濾系數;
B——濾袋阻力系數;
vu——過濾速度, m/min;
M——濾料性能系數。

上一篇:布袋除塵器的配件保養和除塵特點
下一篇:8個要素幫你做好袋式除塵器選型

